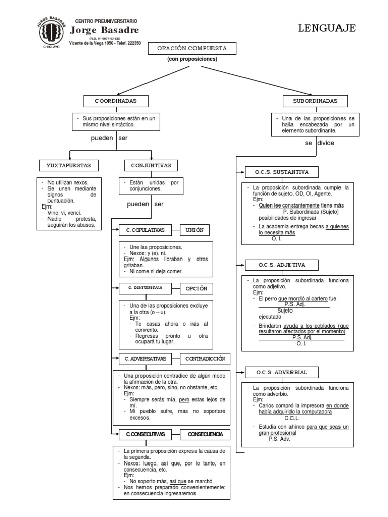
Mapa Conceptual De Oraciones Compuestas
Carrusel anterior Carrusel siguiente. 0 A un 0 le pareció que este documento no es útil Marcar este documento como no útil.

La Clase De Lengua Del Sanjo Mapa Conceptual Oraciones Compuestas
100 100 encontró este documento útil Marcar este documento como útil.
Mapa conceptual de oraciones compuestas. PLAN DE TRABAJO DE. Guardar Guardar Mapa Conceptual de Oraciones Compuestaas para más tarde.
Oraciones Compuestas Mapa Mental Amostra

Mapa Global De Oracion Compuesta

La Oracion Compuesta Y Sus Elementos
Mapa Conceptual De Oraciones Compuestaas
La Oracion Compuesta Mindmeister Mapa Mental

Resumen En Imagenes De La Sintaxis Clasificacion De Las Oraciones Segun La Actitud Del Hablante Tipos De Oraciones Sintaxis Oraciones Complejas
La Oracion Simple Mapa Conceptual Jugando Y Aprendiendo

Cuadros Sinopticos Y Comparativos Sobre Oracion Simple Y Compuesta Cuadro Comparativo

Mapa Conceptual Mind Map Oracion Compuesta Coordinada Y Subordinada De La Lengua Castellana Espanola Words Palabras Hitzak

La Oracion Compuesta Departamento De Lengua Espanola Campanillas
La Nueva Vida Mapa Conceptual De La Oracion Compuesta
Mapa Conceptual Para Oracion Compuesta Pdf

Oraciones Compuestas By Jenni Hol On Prezi Next

Quien Me Hace El Favor De Hacerme Un Mapa Conceptual De Oraciones Compuesta Coordinadas Se Lo Brainly Lat

Las Oraciones Subordinadas Didactalia Material Educativo

Clasificacion Oraciones Compuestas Docsity
Oraciones Explicativas Mapa Mental

La Oracion Compuesta Mapa Conceptual Oraciones Gramatica Espanola





Posting Komentar untuk "Mapa Conceptual De Oraciones Compuestas"